Tugas Besar Mikroprosesor
KONTROL AKUARIUM IKAN MAS KOKI
- Mempelajari simulasi rangkaian kontrol akuarium ikan mas koki, menggunakan touch sensor, infrared sensor, water level sensor, uv sensor, sensor suhu (LM35).
- Memahami bagaimana prinsip kerja dari Mikroprossesor 8088, interface dan komponen pendukungnya
Alat:
1. Power Suply
2. Voltmeter DC
3. Baterai
Bahan:
1. Resistor
6. Decoder (IC 74LS138)
Spesifikasi IC 74LS138:
Sirkuit terpadu dekoder 3 hingga 8 baris
Termasuk dalam keluarga gerbang logika transistor-transistor 74xx
Memiliki 3 pin pengaktif
Input IC dijepit dengan dioda Schottky
Level tegangan i/o: TTL
Catu daya: 5 VDC
Spesifikasi :
Supply : 3.3 V – 5 V (arduino available)
Output Type: Digital Output (0 and 1)
Inverse output.
Include IC LM393 voltage comparator.
Sensitivitasnya dapat diatur.
Dimensi PCB size: 3.2 cm x 1.4 cm.
Spesifikasi :
- Operating Voltage: 3.3V to 5V DC
- Output format: Digital switching output ( 0 and 1 )
- LEDs indicating output and power
- PCB Size: 32mm x 14mm
- LM393 based design
- Easy to use with Microcontrollers or even with normal Digital/Analog IC
14. Sensor Water Level
- Working Voltage: DC 3-5V
- Working Current: <20mA
- Sensor Type: Simulation
- Detection Area: 40 mm x 16 mm
- Manufacturing Process: FR4 double spray tin
- Fixed Hole Size: 3.2 mm
- Humanized Design: Half moon sag nonskid treatment
- Working Temperature: 10 °C to 30 °C
- Work Humidity: 10% to 90% without condensation
- Size: 65 mm x 20 mm x 8 mm
- Optional Accessories: 3 pin sensor connecting line,Arduino 328 controller,Sensor relay shield
16. Sensor Gas

Spesifikasi sensor pada sensor gas MQ-2 adalah sebagai berikut:
- Catu daya pemanas : 5V AC/DC
- Catu daya rangkaian : 5VDC
- Range pengukuran : 200 - 5000ppm untuk LPG, propane 300 - 5000ppm untuk butane 5000 - 20000ppm untuk methane 300 - 5000ppm untuk Hidrogen
- Keluaran : analog (perubahan tegangan)
Komponen Output :
16. Led
17. 7 Segment Anoda
Spesifikasi item :
- Tanpa kecepatan beban 12000 ± 15% rpm
- Tidak ada arus beban =280mA
- Tegangan operasi 1.5 - 9 VDC
- Mulai Torsi =250g.cm (menurut blade yang dikembangkan sendiri)
- mulai saat ini =5A
- Resistansi Isolasi di atas 10O antara casing dan terminal DV 100V
- Arah Rotasi CW: Terminal [+] terhubung ke catu daya positif, terminal [-] terhubung ke nagative
- daya, searah jarum jam dianggap oleh arah poros keluaran
- celah poros 0,05-0,35mm
1. Resistor
Resistor merupakan komponen Elektronika Pasif yang memiliki nilai resistansi atau hambatan tertentu yang berfungsi untuk membatasi dan mengatur besarnya arus yang mengalir dalam rangkaian.
Data sheet resistor:
Dioda adalah komponen elektronika yang terdiri dari dua kutub dan berfungsi menyearahkan arus. Komponen ini terdiri dari penggabungan dua semikonduktor yang masing-masing diberi doping (penambahan material) yang berbeda, dan tambahan material konduktor untuk mengalirkan listrik.
Cara Kerja Dioda:
Secara sederhana, cara kerja dioda dapat dijelaskan dalam tiga kondisi, yaitu kondisi tanpa tegangan (unbiased), diberikan tegangan positif (forward biased), dan tegangan negatif (reverse biased).
Pada kondisi tidak diberikan tegangan akan terbentuk suatu perbatasan medan listrik pada daerah P-N junction. Hal ini terjadi diawali dengan proses difusi, yaitu bergeraknya muatan elektro dari sisi n ke sisi p.
Pada kondisi ini, bagian anoda disambungkan dengan terminal positif sumber listrik dan bagian katoda disambungkan dengan terminal negatif. Adanya tegangan eksternal akan mengakibatkan ion-ion yang menjadi penghalang aliran listrik menjadi tertarik ke masing-masing kutub. Ion-ion negatif akan tertarik ke sisi anoda yang positif, dan ion-ion positif akan tertarik ke sisi katoda yang negatif.
Pada kondisi ini, bagian anoda disambungkan dengan terminal negatif sumber listrik dan bagian katoda disambungkan dengan terminal positif. Adanya tegangan eksternal akan mengakibatkan ion-ion yang menjadi penghalang aliran listrik menjadi tertarik ke masing-masing kutub.
Karakteristik Dioda:
3. Transistor
Berfungsi sebagai penguat, sebagai sirkuit pemutus dan penyambung arus (switching), stabilisasi tegangan, dan modulasi sinyal. Pada rangkaian water level sensor ini transistor hanya digunakan sebagai saklar, dengan adanya arus di base maka transistor akan "on" sehingga akan ada arus dari kolektor ke emitor.
Data Sheet Transistor
Grafik Respon:
Jenis Jenis Transistor :
Transistor NPN
Pada transistor NPN, semikonduktor tipe-P diapit oleh dua semikonduktor tipe-N. Transistor NPN juga dapat dibentuk dengan menghubungkan anoda dari dua dioda sebagai base dan katoda sebagai kolektor dan emitor. Arus mengalir dari kolektor ke emitor karena potensial kolektor lebih besar daripada base dan emitor.
Transistor PNP
Pada transistor PNP, semikonduktor tipe-N diapit oleh dua semikonduktor tipe-P. Transistor PNP juga dapat dibentuk dengan menghubungkan katoda dari dua dioda sebagai base dan anoda sebagai kolektor dan emitor. Hubungan emitter-base foward bias sementara collector-base reverse bias. Jadi, arus mengalir dari emitor ke kolektor karena potensial emitor lebih besar daripada base dan kolektor.
Transistor sebagai saklar
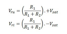
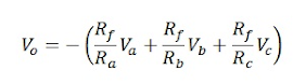
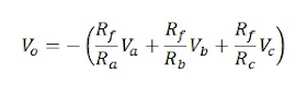
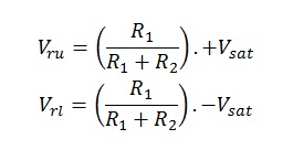
Jika ada arus yang cukup besar di kaki basis, transistor akan mencapai titk jenuh (saturasi). Pada titk jenuh ini transistor mengalirkan arus secara maksimum dari kolektor ke emitor sehingga transistor seolah-olah short pada hubungan kolektor-emitor. Jika arus base sangat kecil maka kolektor dan emitor bagaikan saklar yang terbuka. Pada kondisi ini transistor dalam keadaan cut-off sehingga tidak ada arus dari kolektor ke emitor. Nilai resistor terhubung ke base (Rb) dapat dihitung dengan;
Rb = Vbe / Ib
Transistor sebagai penguat
Transistor sebagai penguat jika bekerja dalam daerah aktif. Tegangan, arus, dan daya dapat diperkuat dengan beberapa konfigurasi seperti common emitter, common colector, dan common base.
DC Current Gain = Collector Current (Ic) / Base Current (Ib)
Gerbang NOT atau disebut juga "NOT GATE" atau Inverter (Gerbang Pembalik) adalah jenis gerbang logika yang hanya memiliki satu input (Masukan) dan satu output (keluaran). Dikatakan Inverter (gerbang pembalik) karena gerbang ini akan menghasilkan nilai ouput yang berlawanan dengan nilai inputnya . Untuk lebih jelasnya perhatikan simbol dan tabel kebenaran gerbang NOT berikut.
Pada gerbang logika NOT, simbol yang menandakan operasi gerbang logika NOT adalah tanda minus (-) diatas variabel, perhatikan gambar diatas.
Perhatikan tabel kebenaran gerbang NOT. Cara cepat untuk mengingat tabelnya adalah dengan mengingat pernyataan berikut. "Gerbang NOT akan menghasilkan output (keluaran) logika 1 bila variabel input (masukan) bernilai logika 0" sebalikanya "Gerbang NOT akan menghasilkan keluaran logika 0 bila input (masukan) bernilai logika 1
DataSheet IC 74HC05
Gerbang OR adalah gerbang logika yang berfungsi untuk menghasilkan output 1 jika salah satu atau semua inputnya 1. Gerbang OR merupakan gerbang logika dasar yang menggunakan resistor dan transistor.asdasd
Cara Kerja Gerbang OR
- Gerbang OR menerima dua atau lebih masukan daya listrik
- Jika salah satu masukan diaktifkan, maka outputnya juga akan aktif
- Jika semua inputnya 0, maka outputnya juga 0
Simbol Gerbang OR
- Dalam notasi Boolean, gerbang OR dilambangkan dengan simbol (+)
- Operasi OR antara A dan B dinyatakan sebagai (A + B)
Konfiugurasi pin:
6. Decoder (IC 74LS138)
IC 74LS138 adalah sirkuit terpadu dekoder 3 hingga 8 baris dari keluarga gerbang logika transistor-transistor 74xx. Fungsi utama IC ini adalah untuk mendekode atau mendemultipleks aplikasi
Spesifikasi IC 74LS138:
Sirkuit terpadu dekoder 3 hingga 8 baris
Termasuk dalam keluarga gerbang logika transistor-transistor 74xx
Memiliki 3 pin pengaktif
Input IC dijepit dengan dioda Schottky
Level tegangan i/o: TTL
Catu daya: 5 VDC
7. OP-AMP LM7324
8. LogicState
Gerbang Logika (Logic Gates) adalah sebuah entitas untuk melakukan pengolahan input-input yang berupa bilangan biner (hanya terdapat 2 kode bilangan biner yaitu, angka 1 dan 0) dengan menggunakan Teori Matematika Boolean sehingga dihasilkan sebuah sinyal output yang dapat digunakan untuk proses berikutnya.
Status logika Pengertian logis, benar atau salah, dari sinyal biner yang diberikan. Sinyal biner adalah sinyal digital yang hanya memiliki dua nilai yang valid. Dalam istilah fisik, pengertian logis dari sinyal biner ditentukan oleh level tegangan atau nilai arus sinyal, dan ini pada gilirannya ditentukan oleh teknologi perangkat. Dalam sirkuit TTL, misalnya, keadaan sebenarnya diwakili oleh logika 1, kira-kira sama dengan +5 volt pada garis sinyal; logika 0 kira-kira 0 volt. Tingkat tegangan antara 0 dan +5 volt dianggap tidak ditentukan.
9. Decoder (IC 74LS139)
Spesifikasi IC 74LS139:
IC 74LS139 adalah sebuah Dual 2-to-4 Line Decoder/Demultiplexer yang berfungsi sebagai perangkat logika yang dapat mengkonversi sinyal masukan menjadi keluaran yang terkodekan. Berikut adalah spesifikasi dan karakteristik utama IC ini:Jenis IC:TTL (Transistor-Transistor Logic) berkecepatan tinggi.Fitur Utama:Dual 2-to-4 Line Decoder/Demultiplexer: IC ini memiliki dua buah decoder/demultiplexer independen, masing-masing dengan dua input dan empat output.
Enable Input (G): Setiap decoder memiliki input enable yang harus diaktifkan untuk memungkinkan fungsi decoding.Output Aktif Rendah: Output IC adalah aktif rendah, artinya output akan bernilai logika "0" ketika aktif.
Voltase Operasi:
Tegangan suplai (Vcc): 4.75V hingga 5.25V (normalnya 5V).
- Sensor PIR
Sensor PIR atau disebut juga dengan Passive Infra Red merupakan sensor yang digunakan untuk mendeteksi adanya pancaran sinar infra merah dari suatu object.
Konfigurasi PIN
Sensor PIR terdiri dari beberapa bagian yaitu :
a. Lensa Fresnel
Lensa Fresnel pertama kali digunakan pada tahun 1980an. Digunakan sebagai lensa yang memfokuskan sinar pada lampu mercusuar. Penggunaan paling luas pada lensa Fresnel adalah pada lampu depan mobil, di mana mereka membiarkan berkas parallel secara kasar dari pemantul parabola dibentuk untuk memenuhi persyaratan pola sorotan utama. Namun kini, lensa Fresnel pada mobil telah ditiadakan diganti dengan lensa plain polikarbonat. Lensa Fresnel juga berguna dalam pembuatan film, tidak hanya karena kemampuannya untuk memfokuskan sinar terang, tetapi juga karena intensitas cahaya yang relative konstan diseluruh lebar berkas cahaya.
b. IR Filter
IR Filter dimodul sensor PIR ini mampu menyaring panjang gelombang sinar infrared pasif antara 8 sampai 14 mikrometer, sehingga panjang gelombang yang dihasilkan dari tubuh manusia yang berkisar antara 9 sampai 10 mikrometer ini saja yang dapat dideteksi oleh sensor. Sehingga Sensor PIR hanya bereaksi pada tubuh manusia saja.
c. Pyroelectric Sensor
Seperti tubuh manusia yang memiliki suhu tubuh kira-kira 32˚C, yang merupakan suhu panas yang khas yang terdapat pada lingkungan. Pancaran sinar inframerah inilah yang kemudian ditangkap oleh Pyroelectric sensor yang merupakan inti dari sensor PIR ini sehingga menyebabkan Pyroelectic sensor yang terdiri dari galium nitrida, caesium nitrat dan litium tantalate menghasilkan arus listrik. Mengapa bisa menghasilkan arus listrik? Karena pancaran sinar inframerah pasif ini membawa energi panas. Material pyroelectric bereaksi menghasilkan arus listrik karena adanya energi panas yang dibawa oleh infrared pasif tersebut. Prosesnya hampir sama seperti arus listrik yang terbentuk ketika sinar matahari mengenai solar cell.
d. Amplifier
Sebuah sirkuit amplifier yang ada menguatkan arus yang masuk pada material pyroelectric.
e. Komparator
Setelah dikuatkan oleh amplifier kemudian arus dibandingkan oleh komparator sehingga mengahasilkan output.
Pada grafik tersebut ; (a) Arah yang berbeda mengasilkan tegangan yang bermuatan berbeda ; (b) Semakin dekat jarak objek terhadap sensor PIR, maka semakin besar tegangan output yang dihasilkan ; (c) Semakin cepat objek bergerak, maka semakin cepat terdeteksi oleh sensor PIR karena infrared yang ditimbulkan dengan lebih cepat oleh objek semakin mudah dideteksi oleh PIR, namun semakin sedikit juga waktu yang dibutuhkan karena sudah diluar jangkauan sensor PIR.
Grafik Respon :
Dari grafik, didapatkan bahwa suhu juga mempengaruhi seberapa jauh PIR dapat mendeteksi adanya infrared dimana semakin tinggi suhu disekitar maka semakin pendek jarak yang bisa diukur oleh PIR.
- Sensor Gas

Sensor MQ-2 berfungsi untuk mendeteksi keberadaan asap yang berasal dari gas mudah terbakar di udara. Pada dasarnya sensor ini terdiri dari tabung aluminium yang dikelilingi oleh silikon dan di pusatnya ada elektroda yang terbuat dari aurum di mana ada element pemanasnya.
Ketika terjadi proses pemanasan, kumparan akan dipanaskan sehingga SnO2 keramik menjadi semikonduktor atau sebagai penghantar sehingga melepaskan elektron dan ketika asap dideteksi oleh sensor dan mencapai aurum elektroda maka output sensor MQ-2 akan menghasilkan tegangan analog.
Spesifikasi sensor pada sensor gas MQ-2 adalah sebagai berikut:
- Catu daya pemanas : 5V AC/DC
- Catu daya rangkaian : 5VDC
- Range pengukuran : 200 - 5000ppm untuk LPG, propane 300 - 5000ppm untuk butane 5000 - 20000ppm untuk methane 300 - 5000ppm untuk Hidrogen
- Keluaran : analog (perubahan tegangan)
konfigurasi dari sensor MQ-S :
- Pin 1 merupakan heater internal yang terhubung dengan ground.
- Pin 2 merupakan tegangan sumber (VC) dimana Vc < 24 VDC.
- Pin 3 (VH) digunakan untuk tegangan pada pemanas (heater internal) dimana VH = 5VDC.
- Pin 4 merupakan output yang akan menghasilkan tegangan analog.
Berdasarkan grafik diatas, dapat dilihat bahwa konsentrasi minimum yang dapat diuji adalah 100ppm dan maksimumnya 10000ppm atau konsentrasi gasnya antara 0.01% dan 1%. Namun, rumusnya tidak dapat ditentukan karena hubungan grafik antara rasio dan konsentrasi adalah nonlinear.
- Potensiometer
Berfungsi untuk mengatur tegangan dengan menaikan atau menurunkan resistansi. Pada dasarnya bagian-bagian penting dalam Komponen Potensiometer adalah :
- Penyapu atau disebut juga dengan Wiper
- Element Resistif
- Terminal
- Sensor Turbidty
Jenis-jenis Potensiometer
1. Potensiometer Slider, yaitu Potensiometer yang nilai resistansinya dapat diatur dengan cara menggeserkan Wiper-nya dari kiri ke kanan atau dari bawah ke atas sesuai dengan pemasangannya. Biasanya menggunakan Ibu Jari untuk menggeser wiper-nya.
2. Potensiometer Rotary, yaitu Potensiometer yang nilai resistansinya dapat diatur dengan cara memutarkan Wiper-nya sepanjang lintasan yang melingkar. Biasanya menggunakan Ibu Jari untuk memutar wiper tersebut. Oleh karena itu, Potensiometer Rotary sering disebut juga dengan Thumbwheel Potentiometer.
3. Potensiometer Trimmer, yaitu Potensiometer yang bentuknya kecil dan harus menggunakan alat khusus seperti Obeng (screwdriver) untuk memutarnya. Potensiometer Trimmer ini biasanya dipasangkan di PCB dan jarang dilakukan pengaturannya.
Fungsi-fungsi Potensiometer
· Sebagai pengatur Volume pada berbagai peralatan Audio/Video seperti Amplifier, Tape Mobil, DVD Player.
· Sebagai Pengatur Tegangan pada Rangkaian Power Supply
· Sebagai Pembagi Tegangan
· Aplikasi Switch TRIAC
· Digunakan sebagai Joystick pada Tranduser
· Sebagai Pengendali Level Sinyal
Sensor turbiditas adalah perangkat yang digunakan untuk mengukur tingkat kekeruhan suatu cairan, biasanya air. Kekeruhan disebabkan oleh partikel tersuspensi seperti lumpur, plankton, atau mikroorganisme yang memengaruhi kejernihan air. Sensor ini sering digunakan dalam aplikasi seperti pemantauan kualitas air, pengolahan air limbah, dan penelitian lingkungan.Cara Kerja Sensor Turbiditas
Sensor turbiditas bekerja berdasarkan prinsip optik, yaitu:
- Sumber Cahaya: Menghasilkan cahaya, biasanya LED inframerah atau cahaya tampak.
- Partikel Tersuspensi: Partikel dalam cairan akan menyebabkan cahaya mengalami:
- Hamburan (scattering) ketika cahaya mengenai partikel.
- Penyerapan (absorption), sehingga intensitas cahaya berkurang.
- Detektor Cahaya: Mengukur intensitas cahaya yang diteruskan atau hamburan cahaya.
- Jika hamburan cahaya tinggi, berarti cairan lebih keruh.
- Jika hamburan cahaya rendah, berarti cairan lebih jernih.
Spesifikasi
• Operating Voltage: 5V DC
• Operating Current: 40mA (MAX)
• Response Time : <500ms
• Insulation Resistance: 100M (Min)
• Output Method:
Analog output: 0-4.5V
Digital Output: High/Low level signal (you can adjust the threshold value by adjusting the
potentiometer)
• Operating Temperature: 5Ô¨~90Ô¨
• Storage Temperature: -10Ô¨~90Ô¨
• Weight: 30g
• Adapter Dimensions: 38mm*28mm*10mm/1.5inches *1.1inches*0.4inches
Water sensor adalah controller yang bisa mendeteksi volume air, tinggi air, serta kualitas air di dalam tangki, sungai, danau, dan sejenisnya dengan akurat dan mudah. Sensor ini merupakan perangkat yang bisa mematikan atau mengobarkan pompa air secara otomatis andai air mulai berakhir atau sudah nyaris penuh.
jumlah Pin pada Sensor ini berjumlah 3 Yaitu :
Water Level Sensor adalah alat yang digunakan untuk memberikan signal kepada alarm / automation panel bahwa permukaan air telah mencapai level tertentu. Sensor akan memberikan signal dry contact (NO/NC) ke panel. Detector ini bermanfaat untuk memberikan alert atau untuk menggerakkan perangkat automation lainnya. Water sensor ini telah dilengkapi dengan built-in buzzer yang berbunyi pada saat terjadi trigger. Sensor ketinggian air biasanya digunakan untuk menghitung ketinggian air di sungai, danau, atau tangki air. Sensor ini sangat mudah untuk dibuat karena bahan - bahanya sederhana.
Cara Kerja Sensor
Water level merupakan sensor yang berfungsi untuk mendeteksi ketinggian air dengan output analog kemudian diolah menggunakan mikrokontroler. Cara kerja sensor ini adalah pembacaan resistansi yang dihasilkan air yang mengenai garis lempengan pada sensor. Cara kerja sensor ini adalah pembacaan resistansi yang dihasilkan air yang mengenai garis lempengan pada sensor. Semakin banyak air yang mengenai lempengan tersebut, maka nilai resistansinya akan semakin kecil dan sebaliknya. Sensor memiliki sepuluh jejak tembaga yang terbuka, lima di antaranya adalah jejak daya dan lima lainnya adalah jejak indera. Jejak-jejak ini terjalin sehingga ada satu jejak indera di antara setiap dua jejak kekuatan. Biasanya, jejak kekuatan dan indera tidak terhubung, tetapi ketika direndam dalam air, keduanya dijembatani. Pengoperasian sensor ketinggian air cukup sederhana. Jejak daya dan indra membentuk resistor variabel (seperti potensiometer) yang resistansinya bervariasi berdasarkan seberapa banyak mereka terpapar air.
Grafik Water Level Sensor
Pengoperasian sensor ketinggian air cukup sederhana. Jejak daya dan indra membentuk resistor variabel (seperti potensiometer) yang resistansinya bervariasi berdasarkan seberapa banyak mereka terpapar air.
Resistensi ini berbanding terbalik dengan kedalaman pencelupan sensor dalam air : Semakin banyak air yang dibenamkan sensor, semakin baik konduktivitasnya dan semakin rendah resistansinya. Semakin sedikit air yang dibenamkan sensor, semakin buruk konduktivitasnya dan semakin tinggi resistansinya. Sensor menghasilkan tegangan output yang sebanding dengan resistansi; dengan mengukur tegangan ini, ketinggian air dapat ditentukan.
Blog Diagram
- OP-AMP LM741
LM741 adalah salah satu IC (Integrated Circuit) Op-Amp (Operational Amplifier) yang memiliki 8 pin. IC Op-Amp ini terdapat 2 jenis bentuk, yaitu tabung (lingkaran) dan kotak (persegi), tetapi yang umum adalah yang berbentuk persegi. Op-Amp banyak digunakan dalam sistem analog komputer, penguat video/gambar, penguat audio, osilator, detector dan lainnya. LM741 biasanya bekerja pada tegangan positif/negatif 12 volt, dibawah itu IC tidak akan bekerja. Setiap pin/kaki-kaki pada IC LM741 mempunya fungsi yang berbeda-beda, keterangan pin/kaki-kaki LM741 dapat dilihat pada gambar dibawah ini.
Op-Amp LM741 dapat membuat beberapa fungsi rangkaian seperti gambar berikut.
- 7 Segment Anoda
Seven segment merupakan bagian-bagian yang digunakan untuk menampilkan angka atau bilangan decimal. Seven segment tersebut terbagi menjadi 7 batang LED yang disusun membentuk angka 8 dengan menggunakan huruf a-f yang disebut DOT MATRIKS. Setiap segment ini terdiri dari 1 atau 2 LED (Light Emitting Dioda). Seven segment bisa menunjukan angka-angka desimal serta beberapa bentuk tertentu melalui gabungan aktif atau tidaknya LED penyususnan dalam seven segment.
Supaya memudahkan penggunaannnya biasanya memakai sebuah sebuah seven segment driver yang akan mengatur aktif atau tidaknya led-led dalam seven segment sesuai dengan inputan biner yang diberikan. Bentuk tampilan modern disusun sebagai metode 7 bagian atau dot matriks. Jenis tersebut sama dengan namanya, menggunakan sistem tujuh batang led yang dilapis membentuk angka 8 seperti yang ditunjukkan pada gambar di atas. Huruf yang dilihatkan dalam gambar itu ditetapkan untuk menandai bagian-bagian tersebut.
Dengan menyalakan beberapa segmen yang sesuai, akan dapat diperagakan digit-digit dari 0 sampai 9, dan juga bentuk huruf A sampai F (dimodifikasi). Sinyal input dari switches tidak dapat langsung dikirimkan ke peraga 7 bagian, sehingga harus menggunakan decoder BCD (Binary Code Decimal) ke 7 segmen sebagai antar muka. Decoder tersebut terbentuk dari pintu-pintu akal yang masukannya berbetuk digit BCD dan keluarannya berupa saluran-saluran untuk mengemudikan tampilan 7 segmen.
Jenis common anode (anoda) ini adalah jenis dimana sebuah pin terhubung pada kaki anoda LED 7 segment. Jenis common anode akan mendapatkan tegangan Vcc dan akan aktif pada logika rendah (0), atau disebut juga aktif.
Data Sheet Seven segment:
Relay adalah komponen yang berfungsi untuk mengalirkan arus listrik yang besar dengan menggunakan kendali listrik arus kecil. Relay memiliki fungsi sebagai saklar atau elektromagnetik switch yang mana dikendalikan oleh magnet listrik.
Relay adalah Saklar (Switch) yang dioperasikan secara listrik dan merupakan komponen Electromechanical (Elektromekanikal) yang terdiri dari 2 bagian utama yakni Elektromagnet (Coil) dan Mekanikal (seperangkat Kontak Saklar/Switch). Relay menggunakan Prinsip Elektromagnetik untuk menggerakkan Kontak Saklar sehingga dengan arus listrik yang kecil (low power) dapat menghantarkan listrik yang bertegangan lebih tinggi. Sebagai contoh, dengan Relay yang menggunakan Elektromagnet 5V dan 50 mA mampu menggerakan Armature Relay (yang berfungsi sebagai saklarnya) untuk menghantarkan listrik 220V 2A.
Ada besi atau yang disebut dengan nama inti besi dililit oleh sebuah kumparan yang berfungsi sebagai pengendali. Sehingga kumparan kumparan yang diberikan arus listrik maka akan menghasilkan gaya elektromagnet. Gaya tersebut selanjutnya akan menarik angker untuk pindah dari biasanya tutup ke buka normal. Dengan demikian saklar menjadi pada posisi baru yang biasanya terbuka yang dapat menghantarkan arus listrik. Ketika armature sudah tidak dialiri arus listrik lagi maka ia akan kembali pada posisi awal, yaitu normal close.
Fitur:
1. Tegangan pemicu (tegangan
kumparan) 5V
2. Arus pemicu 70mA
3. Beban maksimum AC 10A @
250 / 125V
4. Maksimum baban DC 10A @
30 / 28V
5. Switching maksimum
Konfigurasi pin relay:
- Motor DC
Terdapat dua bagian utama pada sebuah Motor Listrik DC, yaitu Stator dan Rotor. Stator adalah bagian motor yang tidak berputar, bagian yang statis ini terdiri dari rangka dan kumparan medan. Sedangkan Rotor adalah bagian yang berputar, bagian Rotor ini terdiri dari kumparan Jangkar. Dua bagian utama ini dapat dibagi lagi menjadi beberapa komponen penting yaitu diantaranya adalah Yoke (kerangka magnet), Poles (kutub motor), Field winding (kumparan medan magnet), ArmatureWinding (Kumparan Jangkar), Commutator (Komutator)dan Brushes (kuas/sikat arang).
Pada prinsipnya motor listrik DC menggunakan fenomena elektromagnet untuk bergerak, ketika arus listrik diberikan ke kumparan, permukaan kumparan yang bersifat utara akan bergerak menghadap ke magnet yang berkutub selatan dan kumparan yang bersifat selatan akan bergerak menghadap ke utara magnet. Saat ini, karena kutub utara kumparan bertemu dengan kutub selatan magnet ataupun kutub selatan kumparan bertemu dengan kutub utara magnet maka akan terjadi saling tarik menarik yang menyebabkan pergerakan kumparan berhenti.
Motor DC digunakan untuk output dari rangkaian dan berjalan jika sensor infrared berlogika 1.
Untuk menggerakannya lagi, tepat pada saat kutub kumparan berhadapan dengan kutub magnet, arah arus pada kumparan dibalik. Dengan demikian, kutub utara kumparan akan berubah menjadi kutub selatan dan kutub selatannya akan berubah menjadi kutub utara. Pada saat perubahan kutub tersebut terjadi, kutub selatan kumparan akan berhadap dengan kutub selatan magnet dan kutub utara kumparan akan berhadapan dengan kutub utara magnet. Karena kutubnya sama, maka akan terjadi tolak menolak sehingga kumparan bergerak memutar hingga utara kumparan berhadapan dengan selatan magnet dan selatan kumparan berhadapan dengan utara magnet. Pada saat ini, arus yang mengalir ke kumparan dibalik lagi dan kumparan akan berputar lagi karena adanya perubahan kutub. Siklus ini akan berulang-ulang hingga arus listrik pada kumparan diputuskan.
Grafik Motor DC:
- IC Op-Amp
Penguat operasional atau yang dikenal sebagai Op-Amp merupakan suatu rangkaian terintegrasi atau IC yang memiliki fungsi sebagai penguat sinyal, dengan beberapa konfigurasi. Secara ideal Op-Amp memiliki impedansi masukan dan penguatan yang tak berhingga serta impedansi keluaran sama dengan nol. Dalam prakteknya, Op-Amp memiliki impedansi masukan dan penguatan yang besar serta impedansi keluaran yang kecil.
Inverting Amplifier
Op-Amp memiliki beberapa karakteristik, diantaranya:
a. Penguat tegangan tak berhingga (AV = ∼)
b. Impedansi input tak berhingga (rin = ∼)
c. Impedansi output nol (ro = 0) d. Bandwidth tak berhingga (BW = ∼)
d. Tegangan offset nol pada tegangan input (Eo = 0 untuk Ein = 0)
Bentuk Gelombang :
Rangkaian penguat inverting maupun non-inverting biasanya menggunakan IC Op-Amp 741.
- Penguat Non-inverting (Op Amp)
Rangkaian untuk penguat non-inverting adalah seperti yang ditunjukkan gambar (3).
Penguat tersebut dinamakan penguat non-inverting karena masukan dari penguat tersebut adalah masukan non-inverting dari Op Amp. Tidak seperti penguat inverting, sinyal keluaran penguat jenis ini sefasa dengan sinyal masukannya. Seperti pada rangkaian penguat inverting syarat ideal sebuah penguat adalah tegangan masukan sama dengan 0 dan impedansi masukan tak terhingga. sehingga dari rangkaian tersebut dapat diperoleh rumus penguat adalah sebagai berikut :
Substitusi persamaan (5) dan (6) ke persamaan (1) sehingga diperoleh
Rangkaian penguat inverting maupun non-inverting biasanya menggunakan IC Op-Amp 741.
- LED
LED merupakan kependekan dari Light Emitting Diode, yakni salah satu dari banyak jenis perangkat semikonduktor yang mengeluarkan cahaya ketika arus listrik melewatinya.LED berfungsi sebagai lampu indikator.
Datasheet LED
- Ground
Ground berfungsi sebagai penghantar arus listrik langsung ke bumi atau tanah.
- Power Supply
Power Supply atau dalam bahasa Indonesia disebut dengan Catu Daya adalah suatu alat listrik yang dapat menyediakan energi listrik untuk perangkat listrik ataupun elektronika lainnya.
- Voltmeter DC
Voltmeter DC digunakan untuk mengukur besarnya tegangan listrik yang terdapat dalam suatu rangkaian listrik. Dimana, untuk penyusunannya dilakukan secara paralel sesuai pada lokasi komponen yang sedang diukur.
- Baterai
Baterai merupakan suatu komponen elektronika yang digunakan sebagai sumber tegangan pada rangkaian.
1. Siapkan semua alat dan bahan yang diperlukan
2. Disarankan agar membaca datasheet setiap komponen
3. Cari komonen yang diperlukan di library proteus
4. Pasang semua komponen pada alat dan bahan sesuai gambar rangkaian dibawah
6. Atur nilai resistor serta logic state
7. Coba dijalankan rangkaian apabila ouput hidup(motor dc,lampu,led) dan seven segment menyala maka rangkaian bisa digunakan
WATER SENSOR
Sensor water pada rangkaian akan mendeteksi ketinggian air pada kolam. Saat air kolam berada di ketinggian kurang dari keadaan normalnya, maka motor akan aktif, sehingga memompa air ke dalam akuarium.
Prinsip kerja dari rangkaian di atas adalah, ketika Water sensor mendeteksi keadaan kekurangan air maka sistem akan memompa air ke dalam akuarium. Prinsipnya, pertama mikroprosessor mengirimkan alamat untuk mengakses I/O IC 8255 melewati AD0-AD15, kemudian masuk ke IC 74273 D0-D7. Alamat tersebut akan dilewatkan dari D0-D7 ke Q0-Q7 apabila sinyal kontrol alih dikeluarkan oleh pin ALE mikroprosesor dan diinverterkan sebelum diumpankan ke CLK IC 74273. Apabila telah aktif sinyal CLK, maka alamat akan ditahan di Q0-Q7 IC 74273. kemudian jika Q1-Q5 IC 74273 yang membawa alamat dari AD9-AD11 dihubungkan dengan decoder 74154. maka ketika nilai AD9-AD11 ini berlogika 0 semua dan E1 E1 IC ini juga berlogika 0, maka pin 0 IC 75154 akan berlogika nol yang kemudian pin ini dihubingkan dengan CS pada IC 8255. sehingga alamat yang dikirimkan adalah untuk akses IC 8255. Kemudian untuk mengirim data dari Mikroprosesor 8086 ke IC I/O 8255, pin AD0-AD7 mikroprosesor dihubungkan dengan pin D0-D7 IC 8255. PORTA IC 8255 menjadi output bagi mikroprosesor untuk kemudian dihubungkan dengan output keypad dan PORTB pada IC ini dihubungkan dengan input Keypad serta PORTC pada IC ini sebagai output yang dihubungkan dengan 7-Segment.
SENSOR GAS
Apabila sensor ini mendeteksi adanya Gas Ammonia atau udara kurang sehat maka sensor berlogika 1 maka output sensor sebesar 5 V, akan ada arus yg mengalir dari keluaran PPI Port B, selanjutnya tegangan keluaran di umpankan ke resistor R5 kemudian ke Q4 terus menuju ke kaki base Q6 dimana tegangan yang terukur adalah 0.77 V yang mampu mengaktifkan transistor Q6. Karena transistor aktif, maka ada arus dari power supply menuju relay terus ke kaki kolektor terus ke kaki emiter terus ke ground. Jenis bias yang digunakan adalah fixed bias. Karena adanya arus yang mengalir pada relay, maka relay menjadi aktif dimana switchnya berpindah dari kanan ke kiri sehingga rangkaian loop pada relay menjadi tertutup sehingga ada tegangan dari baterai yang mengalir pada rangkaian loop yang mengakibatkan motor menyala exhaust aktif.
SENSOR Turbidity
Sensor Turbidty pada rangkaian akan mendeteksi kekeruhan air akuarium dimana jika air sudah mulai keruh maka buzzer akan berbunyi dan LED akan menyala sehingga akan memberi peringatan bahwa air harus di ganti.
Prinsip kerja sensor LDR
Sensor LDR ini akan aktif ketika intensitas sinar matahari yang di deteksi kuat, akan ada arus yg mengalir dari keluaran PPI Port B, tegangan di kaki VBE telah cukup maka transistor akan aktif menyebabkan arus mengalir dari VCC melewati relay ke collector ke emitor berakhir di ground dan ada juga arus dari VCC mengalir ke resistor RB lalu kembali lagi ke kaki base transistor BC547. Dengan aktifnya relay, switch relay bergeser dari kanan ke kiri sehingga loop tertutup maka ada arus yang mengalir yang membuat baterai sebesar 12V dapat meneruskan tegangan menuju motor yang dapat menggerakkan motor penghidup keran air aktif.
Prinsip kerja sensor PIR
Apabila pada sensor PIR terdeteksi adanya gerakan yang melewati sensor PIR (berlogika 1 ) maka tegangan output sebesar 5v, akan ada arus yg mengalir dari keluaran PPI Port B, kemudian output yang masuk ke resistor R3 kemudian keluar tegangan sebesar 0,79 sehingga cukup untuk mengaktifkan transistor Q1 sehingga dengan aktifnya transistor Q1 maka arus akan mengalir dari suply terus ke relay terus ke collector terus ke emitter terus ke ground. dengan aktifnya transistor maka switch relay akan bergerak ke kiri sehingga ada suply 5v dari batterai mengalir ke Lampu hias yang menambah estetika akuarium.
HTML File Klik DisiniFile Rangkaian Klik DisiniCode Rangkaian Klik DisiniVideo simulasi rangkaian Klik DisiniDataSheet Water Sensor Klik DisiniDataSheet Sensor Gas Klik DisiniDataSheet Sensor PIR Klik DisiniDataSheet Turbidity Sensor Klik DisiniDataSheet Sensor LDR Klik Disini
DataSheet Baterry Klik disini
DataSheet Resistor Klik disiniDataSheet Dioda Klik disiniDataSheet Motor DC Klik disiniDataSheet Relay 12V Klik Disini
DataSheet Potensiometer Klik disiniDataSheet Kapasitor Klik Disini
Library Water Level Sensor Klik DisiniLibrary Turbidity Sensor Klik DisiniLibrary Sensor PIR Klik DisiniLibrary Sensor Gas Klik Disini














.jpeg)
























































Tidak ada komentar:
Posting Komentar